Les Grafcets qu’on utilise en automatisme n’étant jamais qu’une forme particulière de graphes, on peut dont l’utiliser pour notre usage, a condition d’accepter qu’ils n’auront pas tout a fait la même tete que d’habitude.
Graphviz est un langage de description. On peut lui trouver des similitudes avec divers autres langages de descriptions de trucs, comme le html ou le yaml
On va garder toujours le même code en entête puis y encapsuler ce dont on a besoin.
Perso je préfère commencer par les transitions, car ça permets d'avoir un premier jet très rapidement et simplement.
Code : Tout sélectionner
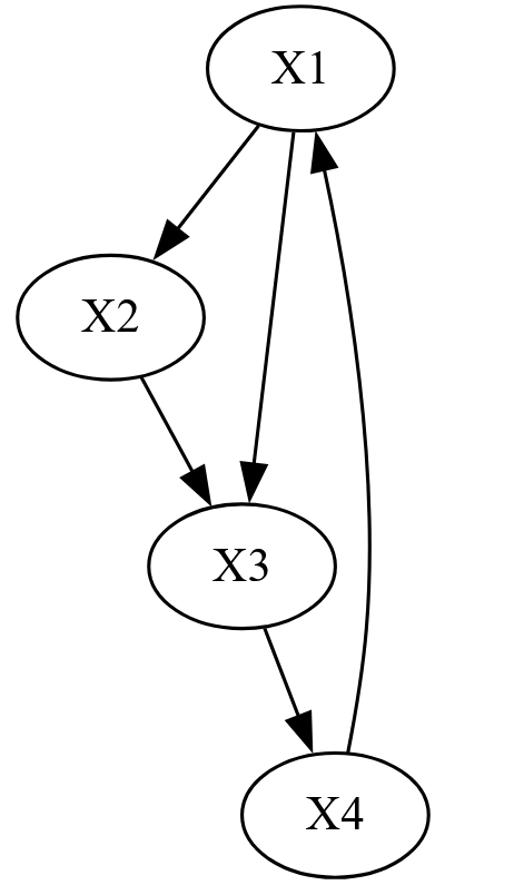
Digraph Machin {
X1 - > X2
X1 - > X3
X2 - > X3
X3 - > X4
X4 - > X1
} # Fin du graphe Machin
Maintenant on va le « tuner » un peut.
On va rajouter des labels a nos transitions et a nos étapes pour le rendre plus clair.
Code : Tout sélectionner
digraph G {
#Liste des transitions d'abords
X1 -> X2 [label="condition 1"]
X1 -> X3 [label="condition 2"]
X2 -> X3 [label="condition 3"]
X3 -> X4 [label="condition 4"]
X4 -> X1 [label="condition 5\r ou suite de la condition 5"]
#Ensuite les étapes.
#Mais rien ne vous empêche de faire l'inverse
X1 [ shape=square label="X1 : Etape 1 \r Faire des trucs"]
X2 [label ="X2: Etape 2"]
#Etc ...
}
Mais au bout d'un moment si on passe trop de temps a le personnaliser, on fini par perdre le te temps qu'on était censés gagner.
Perso je m’arrête aux labels. Les doubles flèches, cases forcées a s’aligner cote a cote et autre c'est plus joli mais ca ne m'aide pas plus a réfléchir.
Dernier point important : Vous n’êtes absolument pas obligés d'installer le soft sur votre PC, il existe des versions en ligne qui vous permettent de travailler directement dans votre navigateur.
https://dreampuf.github.io/GraphvizOnline/?engine=dot
Vous connaissiez cet outil ?




